GCMS
More information
WebinarsAbout usContact usTerms of use
LabRulez s.r.o. All rights reserved. Content available under a CC BY-SA 4.0 Attribution-ShareAlike
Manufacturer
Shimadzu
Shimadzu
Shimadzu provides a broad range of analytical instruments indispensable for research, development, and quality control in a variety of fields. Our high-level, sophisticated instruments include chromatographs, spectrometers, and elemental and surface analysis systems. We also provide a broad range of high-precision physical testing and measuring technology that is essential for product development and quality assurance.
Shimadzu UV-2600i Plus, UV-2700i Plus UV-VIS-NIR SpectrophotometerShimadzu UV-2600i Plus and UV-2700i Plus spectrophotometers deliver high performance with flexible wavelength ranges, advanced optics, and efficient software control.
Features

Shimadzu UV-2600i Plus, UV-2700i Plus UV-VIS-NIR Spectrophotometer

Versatile, Expandable Mid-Range UV Spectrophotometers for Diverse Applications

  • The UV-2600i Plus is a single monochromator system with an expandable wavelength range up to 1400 nm using an optional integrating sphere, making it adaptable for various needs.
  • The UV-2700i Plus is a double monochromator system capable of 8-Abs measurements, ideal for low transmittance samples.

Both models come equipped with the intuitive Shimadzu LabSolutions UV-Vis software, ensuring data integrity and ease of use. Additionally, these spectrophotometers can be scheduled to shut down or enter sleep mode to save power and lamp life, and can automatically wake up at a specified time, enhancing efficiency. Elevate your analysis with these versatile and efficient spectrophotometers.

Features

Perfect for a Wide Variety of Applications

The functionality of the UV-2600i Plus /2700i Plus can be freely expanded to suit the measurement objective. By accommodating a wealth of accessories, the system can address any user’s applications and a variety of situations. Thanks to intuitive operations, anyone can easily obtain the data required.

Shimadzu UV-2600i Plus, UV-2700i Plus UV-VIS-NIR Spectrophotometer.jpgShimadzu UV-2600i Plus, UV-2700i Plus UV-VIS-NIR Spectrophotometer.jpg

Single monochromator UV-2600i Plus

A key feature of the UV-2600i Plus equipped with a single monochromator is its measurement wavelength range. By using the optional ISR-2600Plus Integrating Sphere attachment, the measurement wavelength range can be extended from 220 nm to 1400 nm, significantly expanding its applications.

Integrating Sphere Enables Measurements to 1400 nm

The UV-2600i Plus is equipped with Shimadzu's proprietary LO-RAY-LIGH™ grade diffraction grating, which achieves high efficiency and low stray light levels. By installing the ISR-2600Plus two-detector integrating sphere, the 300 nm to 1100 nm wavelength range of conventional models can be extended to 1400 nm. In addition, the UV-2600i achieves a significant noise reduction, and can accommodate measurements of solar cell anti-reflective films and polycrystalline silicon wafers.

Shimadzu UV-2600i Plus, UV-2700i Plus UV-VIS-NIR SpectrophotometerShimadzu UV-2600i Plus, UV-2700i Plus UV-VIS-NIR SpectrophotometerShimadzu UV-2600i Plus, UV-2700i Plus UV-VIS-NIR SpectrophotometerShimadzu UV-2600i Plus, UV-2700i Plus UV-VIS-NIR SpectrophotometerShimadzu UV-2600i Plus, UV-2700i Plus UV-VIS-NIR SpectrophotometerShimadzu UV-2600i Plus, UV-2700i Plus UV-VIS-NIR Spectrophotometer

Measures Slight Differences in Absorbance

Equipped with a double monochromator that achieves ultra-low stray light levels, the UV-2700i Plus is optimal for measuring low transmittance samples, such as polarization films used for LCD panels. The UV-2700i Plus is capable of 8 Abs measurements, and can make accurate transmittance measurements to 1 part in 100 million, accommodating a variety of sample measurements.

Achieves Ultra-Low Stray Light, Enabling 8-Abs Measurements

In the case of a device equipped with a general double monochromator, the absorbance that can be covered is about 5 to 6, but the UV-2700i Plus offers a range to 8 Abs, with a transmittance value of 0.000001 % (1 part in 100 million). This system achieves high-level absorbance measurements with incomparable precision. In addition to measuring even high-concentration samples as is, eliminating the need to dilute samples, the system can be applied to evaluating the transmission characteristics of polarization films. Wavelengths in the 400 nm to 650 nm range can be measured to 8 Abs.

Shimadzu UV-2600i Plus, UV-2700i Plus UV-VIS-NIR SpectrophotometerShimadzu UV-2600i Plus, UV-2700i Plus UV-VIS-NIR SpectrophotometerShimadzu UV-2600i Plus, UV-2700i Plus UV-VIS-NIR SpectrophotometerShimadzu UV-2600i Plus, UV-2700i Plus UV-VIS-NIR Spectrophotometer

Sample Polarization Film Measurement

With the rotating film holder (image below), two film samples can be set on the same optical axis. In this example, the polarization film is rotated in the plane, and the transmittance is measured when the film transmits and blocks light.

Shimadzu UV-2600i Plus, UV-2700i Plus UV-VIS-NIR SpectrophotometerShimadzu UV-2600i Plus, UV-2700i Plus UV-VIS-NIR SpectrophotometerShimadzu UV-2600i Plus, UV-2700i Plus UV-VIS-NIR SpectrophotometerShimadzu UV-2600i Plus, UV-2700i Plus UV-VIS-NIR Spectrophotometer

Enables Compliance with ER/ES Regulations and Stronger Data Management

Compatible with Validation from PC Software

Validation can be implemented with PC software using UV validation software. In addition to simplifying daily inspections, this makes instrument performance checks and records management easier, enabling more secure regulatory compliance.

Shimadzu UV-2600i Plus, UV-2700i Plus UV-VIS-NIR SpectrophotometerShimadzu UV-2600i Plus, UV-2700i Plus UV-VIS-NIR Spectrophotometer

  • Inspection results can not only be printed but also saved to a file, so the results can be called up later for confirmation.
  • The inspection parameters can also be saved to separate files for periodic and routine inspections and then called up for use.

Shimadzu UV-2600i Plus, UV-2700i Plus UV-VIS-NIR SpectrophotometerShimadzu UV-2600i Plus, UV-2700i Plus UV-VIS-NIR Spectrophotometer

  • The user can select confirmation of instrument performance indicators as per JIS K 0115 General rules for molecular absorptiometric analysis, as well as the general test methods in the Japanese Pharmacopeia. (Order inspection jigs and reagents separately.)

Note: Optional validation software is required to support the US Pharmacopeia and European Pharmacopeia.

Support for FDA 21 CFR Part 11, PIC/S GMP Guidelines and Other Regulations and Guidelines

Ensuring the integrity of data (database management), including the user management, user authority management, and data audit trails required for compliance with FDA 21 CFR Part 11, PIC/S GMP guidelines, and other ER/ES regulations is possible.

Option Software Assists with Regulation-Compliant Validation

UV validation software assists with performing the measurements and calculations required for validation. The software is included standard with UV-2600i/2700i models. In addition to routine inspections, it can also be used to perform instrument validation that is compliant with Japanese, US, and European pharmacopoeias.

Assist Function

The instrument assists the user to ensure that measurements are performed using the correct procedure.*1

Shimadzu UV-2600i Plus, UV-2700i Plus UV-VIS-NIR SpectrophotometerShimadzu UV-2600i Plus, UV-2700i Plus UV-VIS-NIR Spectrophotometer

*1 This function can be enabled/disabled.

Shutdown/Wakeup Functions

The instrument can be shut down, and put into sleep mode. Putting the instrument into sleep mode limits power consumption and helps preserve the lamp. After a long period of measurements, the instrument and software can automatically be shut down. After shutdown, the instrument can also be set to wake up automatically at a specified time. With this function, analysis can start the instant the user arrives at the laboratory.

Shimadzu UV-2600i Plus, UV-2700i Plus UV-VIS-NIR SpectrophotometerShimadzu UV-2600i Plus, UV-2700i Plus UV-VIS-NIR Spectrophotometer

Applications

Electricity, Electronics, and Optics

Band Gap Measurements for Compound Semiconductors

Shimadzu UV-2600i Plus, UV-2700i Plus UV-VIS-NIR Spectrophotometer: The diffuse reflection spectra for two types of compound semiconductors (red line: Culn0.5Ga0.5Se2, blue line: CulnSe2) used as solar cell materials were measured using the ISR-2600Plus integrating sphere. It is evident that the absorption edge (position where the reflectance drops) differs depending on the sample. This difference signifies a difference in the band gap* for these samples. (The samples were provided by Wada Laboratory, Faculty of Science and Technology, Ryukoku University.) The band gaps for the samples were calculated utilizing the Tauc method. The results obtained were 1.27 eV for Culn0.5Ga0.5Se2 (red line) and 0.99 eV for CulnSe2 (blue line).  *The term band gap refers to the energy difference between the top of the valence band, which is full of electrons, and the bottom of the conduction band, which does not contain electrons.Shimadzu UV-2600i Plus, UV-2700i Plus UV-VIS-NIR Spectrophotometer: The diffuse reflection spectra for two types of compound semiconductors (red line: Culn0.5Ga0.5Se2, blue line: CulnSe2) used as solar cell materials were measured using the ISR-2600Plus integrating sphere. It is evident that the absorption edge (position where the reflectance drops) differs depending on the sample. This difference signifies a difference in the band gap* for these samples. (The samples were provided by Wada Laboratory, Faculty of Science and Technology, Ryukoku University.) The band gaps for the samples were calculated utilizing the Tauc method. The results obtained were 1.27 eV for Culn0.5Ga0.5Se2 (red line) and 0.99 eV for CulnSe2 (blue line). *The term band gap refers to the energy difference between the top of the valence band, which is full of electrons, and the bottom of the conduction band, which does not contain electrons.

Chemicals

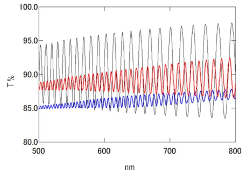
Thickness Measurements of Cling Films

Shimadzu UV-2600i Plus, UV-2700i Plus UV-VIS-NIR Spectrophotometer: Undulating interference waveforms sometimes occur if light is passed through a film. The film thickness of a sample can be determined by using these interference waveforms. The figure shows transmittance data for a cling film. A clear interference waveform is produced. Utilizing optional film thickness measurement software, the film thickness is calculated as 10.4 μm. (Caution) The sample's refractive index must be entered for the film thickness calculation.Shimadzu UV-2600i Plus, UV-2700i Plus UV-VIS-NIR Spectrophotometer: Undulating interference waveforms sometimes occur if light is passed through a film. The film thickness of a sample can be determined by using these interference waveforms. The figure shows transmittance data for a cling film. A clear interference waveform is produced. Utilizing optional film thickness measurement software, the film thickness is calculated as 10.4 μm. (Caution) The sample's refractive index must be entered for the film thickness calculation.

Medicines

Evaluating Thermal Stability (Tm) Analysis of Oligonucleotide Therapeutics

Shimadzu UV-2600i Plus, UV-2700i Plus UV-VIS-NIR Spectrophotometer: Oligonucleotide therapeutics samples (9 to 60 M) were analyzed using TMSPC™-8i and 1 mm optical path length cells. Since UV-2600i Plus /2700i Plus can measure over a wide dynamic range, it is possible to perform a thermal stability analysis of nucleic acid drugs by obtaining the Tm value from the melting curve.Shimadzu UV-2600i Plus, UV-2700i Plus UV-VIS-NIR Spectrophotometer: Oligonucleotide therapeutics samples (9 to 60 M) were analyzed using TMSPC™-8i and 1 mm optical path length cells. Since UV-2600i Plus /2700i Plus can measure over a wide dynamic range, it is possible to perform a thermal stability analysis of nucleic acid drugs by obtaining the Tm value from the melting curve.

Construction

Window Glass Transmission Measurements

Shimadzu UV-2600i Plus, UV-2700i Plus UV-VIS-NIR Spectrophotometer: Two types of window glass were measured utilizing the ISR-2600Plus integrating sphere. The sample shown by the red line is highly transparent to near-infrared light at 800 nm or more. The sample shown by the blue line, however, is apparently not very transparent to near-infrared light.Shimadzu UV-2600i Plus, UV-2700i Plus UV-VIS-NIR Spectrophotometer: Two types of window glass were measured utilizing the ISR-2600Plus integrating sphere. The sample shown by the red line is highly transparent to near-infrared light at 800 nm or more. The sample shown by the blue line, however, is apparently not very transparent to near-infrared light.

Cosmetics

Measurement of the Ultra Violet Protection Factor Assigned to Ultraviolet Protection Clothes

Shimadzu UV-2600i Plus, UV-2700i Plus UV-VIS-NIR Spectrophotometer: The UV protection provided by clothes and an umbrella were analyzed by an ISR-2600Plus integrating sphere accessory. The transmittance spectrum of the umbrella (green) shows that very little UV radiation transmits through the umbrella. In regards to the clothing, the black areas block more UV radiation than do the white areas.Shimadzu UV-2600i Plus, UV-2700i Plus UV-VIS-NIR Spectrophotometer: The UV protection provided by clothes and an umbrella were analyzed by an ISR-2600Plus integrating sphere accessory. The transmittance spectrum of the umbrella (green) shows that very little UV radiation transmits through the umbrella. In regards to the clothing, the black areas block more UV radiation than do the white areas.

Textiles

Total Transmittance Spectrum of CNF

Shimadzu UV-2600i Plus, UV-2700i Plus UV-VIS-NIR Spectrophotometer: An ISR-2600Plus integrating sphere was used to measure the total transmittance spectrum of cellulose nanofiber (CNF). Depending on the raw materials used, spectra can vary, transparency can vary, and spectral tendencies in the ultraviolet region can vary.Shimadzu UV-2600i Plus, UV-2700i Plus UV-VIS-NIR Spectrophotometer: An ISR-2600Plus integrating sphere was used to measure the total transmittance spectrum of cellulose nanofiber (CNF). Depending on the raw materials used, spectra can vary, transparency can vary, and spectral tendencies in the ultraviolet region can vary.

Life Sciences

DNA and Protein Measurements

Shimadzu UV-2600i Plus, UV-2700i Plus UV-VIS-NIR Spectrophotometer: The red and blue lines are the absorption spectra for dsDNA and BSA (bovine serum albumin), respectively. The concentration values are 45 ng/μL for dsDNA and 2.2 mg/mL for BSA.Shimadzu UV-2600i Plus, UV-2700i Plus UV-VIS-NIR Spectrophotometer: The red and blue lines are the absorption spectra for dsDNA and BSA (bovine serum albumin), respectively. The concentration values are 45 ng/μL for dsDNA and 2.2 mg/mL for BSA.

Foods

Vitamin Measurements

Shimadzu UV-2600i Plus, UV-2700i Plus UV-VIS-NIR Spectrophotometer: This shows the absorption spectra for riboflavin (vitamin B2). The sample concentrations are, in order from the highest absorbance, 0.08, 0.04, 0.02, and 0.01 mg/mL.Shimadzu UV-2600i Plus, UV-2700i Plus UV-VIS-NIR Spectrophotometer: This shows the absorption spectra for riboflavin (vitamin B2). The sample concentrations are, in order from the highest absorbance, 0.08, 0.04, 0.02, and 0.01 mg/mL.

Manufacturer
Shimadzu
Shimadzu
Shimadzu provides a broad range of analytical instruments indispensable for research, development, and quality control in a variety of fields. Our high-level, sophisticated instruments include chromatographs, spectrometers, and elemental and surface analysis systems. We also provide a broad range of high-precision physical testing and measuring technology that is essential for product development and quality assurance.
Other projects
LCMS
ICPMS
Follow us
FacebookX (Twitter)LinkedInYouTube
More information
WebinarsAbout usContact usTerms of use
LabRulez s.r.o. All rights reserved. Content available under a CC BY-SA 4.0 Attribution-ShareAlike