How can proficiency testing help my laboratory?

Eurachem: How can proficiency testing help my laboratory?
Proficiency testing (PT) is applicable to quantitative, qualitative and interpretative assessments, but this leaflet will concentrate on PTs for quantitative tests. Participation in PT is an essential part of the quality assurance in analytical laboratories and provides them with many benefits. In PT the provider evaluates the performance of participants against pre-established criteria defined in the design of the PT scheme.
Performance evaluation
The majority of PT schemes involve some form of performance score, such as the z or similar scores1 , and corresponding assessment criteria. An assigned value (xpt) and a standard deviation for proficiency assessment (spt) are determined and used to calculate the performance score of the laboratory result (xi), e.g. the z score with z = (xi - xpt ) / spt
Eurachem: How can proficiency testing help my laboratory?
Assessment of z scores is based on the following criteria:
- |z| ≤ 2.0 is regarded as satisfactory;
- 2.0 < |z| < 3.0 is regarded as questionable (‘warning signal’);
- |z| ≥ 3.0 is regarded as unsatisfactory (‘action signal’).
This is based on the concept that normally distributed analytical results lie within two standard deviations with a probability of ca. 95 %, and within three standard deviations with a probability of 99.7 %.
PT providers have several options to determine spt such as prescribed/perceived desirable analytical performance or the observed distribution of data. The spt used by the PT provider may not be appropriate for all laboratories. If justified, the participants may then calculate their own z score using an alternative spt value which is fit for their purpose.
Corrective actions
Unsatisfactory performance scores (‘action signal’) indicate possible problems in the analysis undertaken. The laboratory must investigate this (e.g. by checking for transcription/calculation errors, trueness and precision) and, if necessary, address the problems through appropriate corrective actions. Participation in the PT provides very limited benefits to the laboratory, if unsatisfactory performance scores are not acted upon.
Evaluation of results over time
In addition to internal quality control, regular participation in PT enables laboratories to monitor their performance over time and to identify trends before these become problems. Performance scores obtained from subsequent PT rounds can be plotted in a control chart.
Method comparisons
Where PT schemes require participants to report details of the method used, the PT report may enable the participant to compare the performance of their method with that of other methods used.
Use of PT data to estimate bias
The bias of a method should be established using certified reference materials (CRMs) or comparison with a reference method. However, these may not be available for all matrices, analytes and levels, or CRMs may not be fully representative of the real test samples. Participation in PT provides the opportunity to check the bias taking into account the effects of matrix and concentration variation, provided that a reliable estimate of the “true value” is assigned in the PT. Participation in several PT rounds also provides information on the bias variability which can be used as a contribution in the laboratory evaluation of the measurement uncertainty.
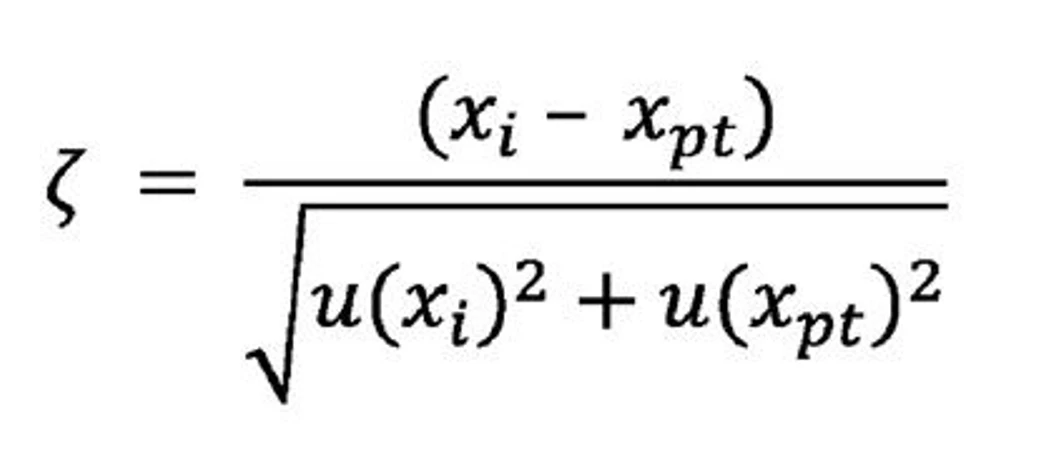
Use of PT to check measurement uncertainties
The ζ (zeta) score can help to check the plausibility of the laboratory’s measurement uncertainty estimate. It is calculated as follows:
Eurachem: Zeta score calculation
where xi is the laboratory’s result, xpt the assigned value, and u(xi) and u(xpt) are their respective standard uncertainties.
The assessment criteria for satisfactory, questionable and unsatisfactory results are the same as for the z score. The uncertainty reported by a laboratory for its measurement result is an estimate of the accuracy that the laboratory claims to reach. If ζ scores are outside the acceptable range, this shows that the laboratory is not able to fulfill its own requirements. In other words the measurement uncertainty is underestimated.
Additionally, the standard measurement uncertainty of a laboratory result can be expected to be lower than the reproducibility observed in the proficiency test. If the measurement uncertainty is much lower the uncertainty estimate should be reviewed.
Demonstration of competence
Successful participation in PT (| z | ≤ 2.0) is often seen as a proof of competence to customers, accreditation bodies and regulatory authorities. PT can also provide a valuable educational element to the laboratory, for example it can indicate the success of staff training or where additional training is required.
More information / further reading
B. Brookman and I. Mann (eds.) Eurachem Guide: Selection, Use and Interpretation of Proficiency Testing (PT) Schemes (3rd ed. 2021). Information about PT providers and schemes can be obtained from your national accreditation body, from the EPTIS website (www.eptis.org) or from other national or international organisations.
1For other scores refer to ISO 13528




